


2012年,被媒體稱為本屆政府任期最后一年的“闖關年”。中國經濟增長放緩,結構轉型面臨考驗,深層改革箭在弦上。
面對充滿挑戰的內外部環境,今年的兩會如何給中國經濟定調、引領國家穿越迷霧穩中求進,國人期待,世界關切。
記者在谷歌新聞頁面上搜索兩會新聞,有數萬個相關結果,梳理其中的最新新聞發現,外媒探討的重點有兩個:一是關注中國改革,二是關注2012年中國調低經濟增長速度。
文/記者 尹曉琳 程磊
(單位:條)
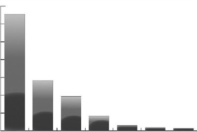
外媒熱詞數量
關鍵詞·經濟
《曼谷郵報》:中國降低經濟增長目標
關鍵詞·
改革
巴基斯坦《每日時報》:中國改革插翅待飛
關鍵詞·
民生
英國《金融時報》:中國兩會立足民生
關鍵詞·
影響
彭博社:中國在美上市公司股票上漲
關鍵詞·
名人
《華爾街日報》:汪洋將成兩會場外焦點
關鍵詞·
花絮
美國中文網:中外記者狂追委員
制圖/劉江
關鍵詞·
軍費
《芝加哥論壇報》:美國重返亞太中國如何接招
法新社:中國或降低經濟增長目標
32700
14100
9690
4100
761
300
157
美國《市場觀察》:中國兩會熱烈討論改革
京ICP備13018232號-3 | 互聯網新聞信息服務許可證10120230016 | 增值電信業務經營許可證京B2-20203552
信息網絡傳播視聽節目許可證0110425 | 廣播電視節目制作經營許可證(京)字第10541號
網絡出版服務許可證(京)字第181號 | 出版物經營許可證京零字第220018號 | 京公網安備11010702000076號
網站違法和不良信息舉報電話:010-8642 3089